Termínem černá díra opravdu běžně označujeme oblast, která je vymezena tzv. horizontem událostí vytvořeným okolo gravitačně zhrouceného objektu. Gravitace je natolik silná, že zakřiví prostoročas tak, že zpod horizontu nemůže uniknout ani žádná hmota, ani světlo nebo jiný signál, a odtud také pochází název objektu „černá díra“. Velikost černé díry je dána rozměry oblasti ohraničené horizontem událostí. Podle toho, jakým způsobem černá díra vznikne, se může podobně jako hvězdy nebo planety různě rychle otáčet. V případě nerotující a nebo velmi pomalu rotující černé díry má horizont tvar koule a je definovaný tzv. Schwarzschildovým poloměrem, který lineárně roste s hmotností černé díry. Rychle rotující černé díry pak mají svůj horizont událostí deformovaný.
Jelikož hmota ani informace nemohou opustit vnitřek černé díry, je tato oblast kauzálně (příčinně) oddělená od našeho vesmíru a nemůže nás žádným způsobem ovlivnit. Z toho také plyne, že my jakožto vnější pozorovatelé nemůžeme zjistit, co přesně se za horizontem nachází.
Zatímco pro objekt padající do černé díry nepředstavuje horizont událostí žádný významný mezník, těleso jím projde v konečném čase, z hlediska vnějšího pozorovatele sledujícího pád tělesa do černé díry dochází na horizontu událostí k nekonečnému gravitačnímu rudému posuvu a pád tělesa pod horizont trvá nekonečně dlouhou dobu. Jedním ze základních aspektů teorie relativity totiž je, že čas a vnímání reality jsou odlišné pro různé pozorovatele. Horizont se vytvoří v okamžiku, kdy se při gravitačním kolapsu tělesa stlačí dostatek hmoty do oblasti menší, než by odpovídalo jejímu Schwarzschildovu poloměru. Kvůli tomu je vnitřek černé díry (a čas, který tam ubíhá) oddělen od našeho vesmíru ještě předtím, než tato hmota mohla dosáhnout singulárního bodu uprostřed (teoretický bod v jádru černé díry, kde hustota hmoty a gravitační síla dosahují nekonečna).
Je tedy otázka, zda např. můžeme tvrdit, že v případě černé díry vzniklé gravitačním kolapsem je uvnitř opravdu singularita, tedy bod s nekonečnou hustotou. Spíše si můžeme představit, že se tam nachází hmota padající k centru. Navíc vždy, když v nějaké fyzikální teorii narazíme na nekonečna a singularity, musíme zbystřit, zda se již nepohybujeme mimo meze našeho poznání. V tomto případě je možné, že o vnitřku černé díry a povaze její singularity by nám mohla napovědět případná kvantová teorie gravitace, která by dokázala zároveň popsat velké hustoty a energie a kvantové chování hmoty (chování částic tvořících hmotu na velmi malých škálách, kde se projevují kvantové jevy). Ačkoliv pokusy o odvození takové teorie existují, uspokojivou a experimentálně prověřenou verzi prozatím nemáme.
Co se týče průměrné hustoty černé díry, můžeme si ji definovat jako podíl hmotnosti černé díry a jejího objemu. Samotný objem ale s hmotností roste, a to dokonce „rychleji“ než hmotnost samotná, skrze výše uvedený Schwarzschildův poloměr. Ve výsledku je takto definovaná hustota černé díry pro těžší černé díry menší a pro velmi velké supermasivní černé díry, které váží miliardy hmotností Slunce, může skutečně vycházet menší, než je hustota vody. To tedy znamená, že pokud bychom měli materiál o hmotnosti několika miliard Sluncí, pak ho stačí stlačit pouze na hustotu vody, aby se okolo něj vytvořil horizont událostí a sám zkolaboval do černé díry. Vzhledem k výše řečenému o průběhu gravitačního kolapsu je ovšem otázka, co tato průměrná hustota černé díry představuje a zda má konkrétnější fyzikální význam.
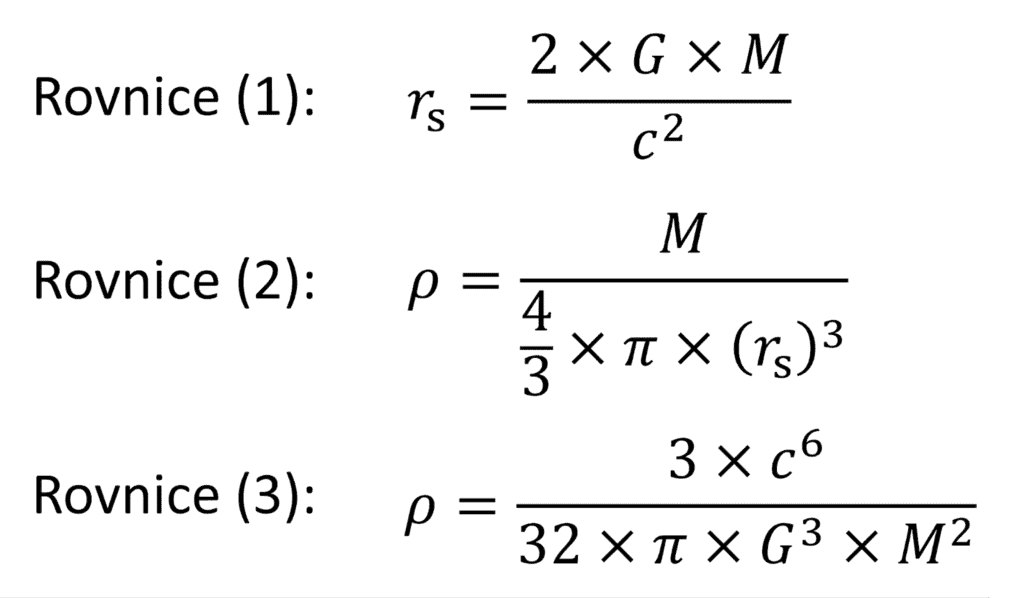
Pro fajnšmekry: Schwarzschildův poloměr lze spočítat podle rovnice (1) (viz Obrázek), kde M je hmotnost černé díry, G je gravitační konstanta a c je rychlost světla. Průměrnou hustotu černé díry (ρ) lze definovat jako podíl hmotnosti černé díry M a jejího objemu V pomocí rovnice (2). Po dosazení vztahu pro Schwarzschildův poloměr (rovnice (1)) dostaneme rovnici (3) pro hustotu černé díry. Z ní tedy vidíme, že jelikož poloměr černé díry roste lineárně s její hmotností a její objem roste s třetí mocninou její hmotnosti, výsledná hustota klesá s druhou mocninou celkové hmotnosti.

Obrázek – Rovnice použité v textu.
Nyní se pojďme podívat na srážky dvou černých děr. Ve skutečnosti je možná přesnější pojmenování splynutí černých děr než srážka. Během takového splynutí kolem sebe černé díry (tedy oblasti vymezené svým horizontem událostí) obíhají a přitom vyzařované gravitační vlny odnášejí pryč energii a moment hybnosti. Zmenšování těchto dvou veličin způsobuje, že se k sobě trajektorie obou černých děr přibližují. Pokud by vyzářené gravitační vlny neodnesly dostatečné množství energie a momentu hybnosti, pak by černé díry nemohly splynout, ale neustále by kolem sebe obíhaly v důsledku zákonů zachování energie a momentu hybnosti, podobně jako planety obíhající Slunce. V jejich případě jsou totiž vyzářené gravitační vlny naprosto zanedbatelné a planety se tak ke Slunci přibližují jen nepatrně.
V případě dvou blízkých černých děr je však situace jiná a díky velmi silnému gravitačnímu vyzařování na sebe poměrně rychle padají. V okamžiku, kdy se jejich horizonty dotknou, splynou v jeden a vznikne černá díra obklopená horizontem s komplikovanou pokřivenou geometrií. Během velmi krátké doby se pak pomocí gravitačních vln vyrovnají zakřivení a nepravidelnosti horizontu, a nový objekt pak má horizont s tvarem opět daným pouze hmotností a momentem hybnosti (rychlostí rotace) výsledné černé díry. Co přesně se děje pod horizontem událostí, je opět pro nás jakožto vnější pozorovatele mimo dosah. Pěkné animace takových splynutí můžete shlédnout na níže přiloženém odkaze.
Zajímavostí je, že v poslední dekádě již máme přímá pozorování splynutí dvou černých děr, stejně tak jako splynutí páru černé díry a neutronové hvězdy, případně dvou neutronových hvězd, a to díky několika pozemním detektorům gravitačních vln (LIGO – Laser Interferometer Gravitational-Wave Observatory, Virgo). Kompletní seznam pozorování v prvních třech bězích těchto detektorů spolu se seznamem ještě nepotvrzených možných pozorování v právě probíhajícím čtvrtém běhu (tato data ještě nejsou kompletně zpracovaná) je k dispozici na níže uvedeném odkazu.
Tento seznam ukazuje, že jsme již pozorovali desítky událostí splynutí černých děr. Jedná se ovšem zatím pouze o splynutí tzv. černých děr hvězdné hmotnosti (tzn. do cca 100 slunečních hmotností), a to z důvodu frekvenčního rozsahu pozemních detektorů gravitačních vln (cca 20–2000 Hz). V příští dekádě plánuje Evropská kosmická agentura vypustit vesmírnou observatoř gravitačních vln LISA (Laser Interferometer Space Antenna), která bude citlivá na gravitační vlny o nižších frekvencích (cca 0,1 mHz – 1 Hz [1]), a tudíž bude sledovat především splynutí dvou supermasivních černých děr, případně pád malých černých děr do těch supermasivních (IMRI – intermediate mass ratio inspiral, EMRI – extreme mass ratio inspiral). Umožní nám tak dozvědět se mnoho nového o fyzice těchto exotických objektů.
Pro Zeptej se vědce odpovídala Petra
Zdroje:
Animovaná simulace splynutí černých děr:
https://en.wikipedia.org/wiki/Binary_black_hole
Seznam pozorování gravitačních vln:
https://en.wikipedia.org/wiki/List_of_gravitational_wave_observations
Další čtení prověřené autorem:
https://cs.wikipedia.org/wiki/Schwarzschild%C5%AFv_polom%C4%9Br
https://cs.wikipedia.org/wiki/%C4%8Cern%C3%A1_d%C3%ADra#Rotuj%C3%ADc%C3%AD_%C4%8Dern%C3%A9_d%C3%ADry
https://cs.wikipedia.org/wiki/Rud%C3%BD_posuv?wprov=sfti1
https://hvezdy.astro.cz/dira/35-pad-telesa-do-cerne-diry-a-kolaps-telesa